Question: 2 The network below represents a project being analyzed by the critical path method. Activity durations are A=5, B=2, C=12, D=3, E=5, F=1, G=7, H=2,
2
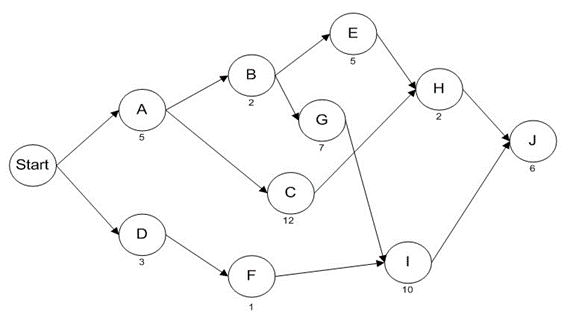
The network below represents a project being analyzed by the critical path method. Activity durations are A=5, B=2, C=12, D=3, E=5, F=1, G=7, H=2, I=10, and J=6.

a. What task must be on the critical path, regardless of activity durations?
b. What is the duration of path A-B-E-H-J?
c. What is the critical path of this network?
d. What is the length of the critical path?
e. What is slack time at activity H?
f. What is the Late Finish of activity H?
g. If activity C were delayed by two time units, what would happen to the project duration?
E 5 B I 2 A G 2 J Start 12 D D 3 F F 10Step by Step Solution
There are 3 Steps involved in it
Get step-by-step solutions from verified subject matter experts
