Question: 2. Use the data below and answer the following questions. xl x2 0.3876 0.3234 0.00 0.1686 0.9418 2.00 0.3912 0.4321 0.01 0.3674 0.9734 0.90 0.0155


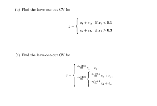
2. Use the data below and answer the following questions. xl x2 0.3876 0.3234 0.00 0.1686 0.9418 2.00 0.3912 0.4321 0.01 0.3674 0.9734 0.90 0.0155 0.5225 2.11 0.0875 0.9084 1.88 0.4621 0.6802 0.78 0.2402 0.3679 1.90 0.7716 0.7090 0.88 0.6748 0.3270 -0.03 (a) Find the leave-one-out CV for model y=c+ (b) Find the leave-one-out CV for y = +1. if x 0.3 () Find the leave-one-out CV for C0.3 Ci + 1 TEC05 cy + E3, 190.5 C4 + E4 2. Use the data below and answer the following questions. xl x2 0.3876 0.3234 0.00 0.1686 0.9418 2.00 0.3912 0.4321 0.01 0.3674 0.9734 0.90 0.0155 0.5225 2.11 0.0875 0.9084 1.88 0.4621 0.6802 0.78 0.2402 0.3679 1.90 0.7716 0.7090 0.88 0.6748 0.3270 -0.03 (a) Find the leave-one-out CV for model y=c+ (b) Find the leave-one-out CV for y = +1. if x 0.3 () Find the leave-one-out CV for C0.3 Ci + 1 TEC05 cy + E3, 190.5 C4 + E4
Step by Step Solution
There are 3 Steps involved in it
Get step-by-step solutions from verified subject matter experts
