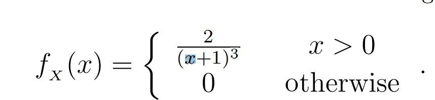
Question: 2 x > 0 fx (x) = (x+1) 0 otherwise
2 x > 0 fx (x) = (x+1) 0 otherwise
Step by Step Solution
There are 3 Steps involved in it
Get step-by-step solutions from verified subject matter experts
