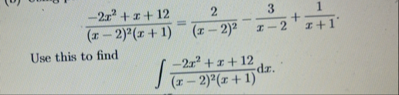
Question: - 2 x 2 x 1 2 ( x - 2 ) 2 ( x 1 ) = 2 ( x - 2 ) 2
Use this to find
Step by Step Solution
There are 3 Steps involved in it
1 Expert Approved Answer
Step: 1 Unlock
Question Has Been Solved by an Expert!
Get step-by-step solutions from verified subject matter experts
Step: 2 Unlock
Step: 3 Unlock
