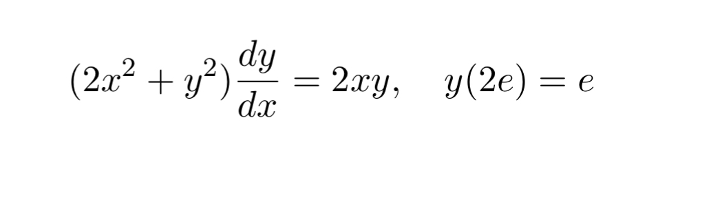
Question: ( 2 x 2 + y 2 ) d y d x = 2 x y , y ( 2 e ) = e Find
Find the implicit solution write the equation in the form yFyx if necessary, and use the substitution uyx to solve.
Answer : xylny
Show work pls
Step by Step Solution
There are 3 Steps involved in it
1 Expert Approved Answer
Step: 1 Unlock
Question Has Been Solved by an Expert!
Get step-by-step solutions from verified subject matter experts
Step: 2 Unlock
Step: 3 Unlock
