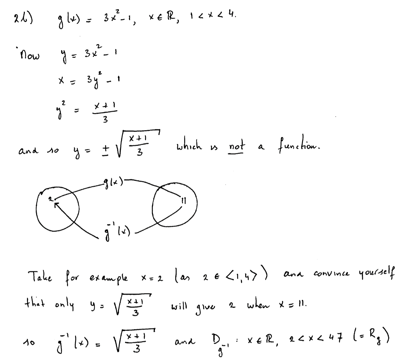
Question: 21) 9 1+ ) = 3x - 1, XER, 14 x 64. now 4 = 3x - 1 X = 34 2 1 2 y


21) 9 1+ ) = 3x - 1, XER, 14 x 64. now 4 = 3x - 1 X = 34 2 1 2 y 3 X+1 and 10 4 = + 3 which is not a function . g / x ) . 9 ( x ) Take for example x=2 ( as 2 6 > and convince yourself that only y = V : will give 2 when * =1 . 10 J'1 x ) = x+ 1 3 and .D., : X E R 2 0. 2+ x (b) g(x) = 3x2 -1, with xe R, 1
Step by Step Solution
There are 3 Steps involved in it
Get step-by-step solutions from verified subject matter experts
