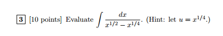
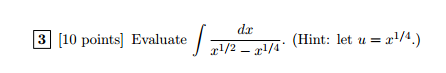
Question: 3 [10 points Evaluate pl/2 - x1/4' Hint: let u = pl/4.) [10 points) Evaluate . (Hint: xl/2 _ let u zr


3 [10 points Evaluate pl/2 - x1/4' Hint: let u = pl/4.)
[10 points) Evaluate . (Hint: xl/2 _ let u zr
Step by Step Solution
There are 3 Steps involved in it
Get step-by-step solutions from verified subject matter experts
