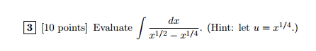
Question: 3 [10 points Evaluate pl/2 - x1/4' Hint: let u = pl/4.) [10 points) Evaluate . (Hint: xl/2 _ let u zr

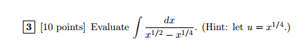
[10 points) Evaluate . (Hint: xl/2 _ let u zr

image text in transcribed

3 [10 points Evaluate pl/2 - x1/4' Hint: let u = pl/4.)

[10 points) Evaluate . (Hint: xl/2 _ let u zr

Step by Step Solution

There are 3 Steps involved in it

1 Expert Approved Answer
Step: 1 Unlock blur-text-image
Question Has Been Solved by an Expert!

Get step-by-step solutions from verified subject matter experts

Step: 2 Unlock
Step: 3 Unlock

Students Have Also Explored These Related Mathematics Questions!