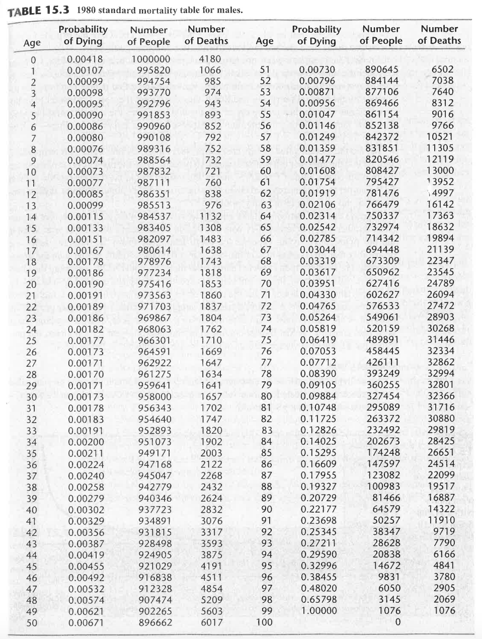
Question: 3. (24%) Using Table 15.3 , calculate the single premium for the four year term life insurance policy with face amount equal to $100,000 for
3. (24%) Using Table 15.3 , calculate the single premium for the four year term life insurance policy with face amount equal to $100,000 for a 40-year-old with an interest rate of 10% and claim processing cost is $5000.

TABLE 15.31980 standard mortality table for males. TABLE 15.31980 standard mortality table for males
Step by Step Solution
There are 3 Steps involved in it
Get step-by-step solutions from verified subject matter experts
