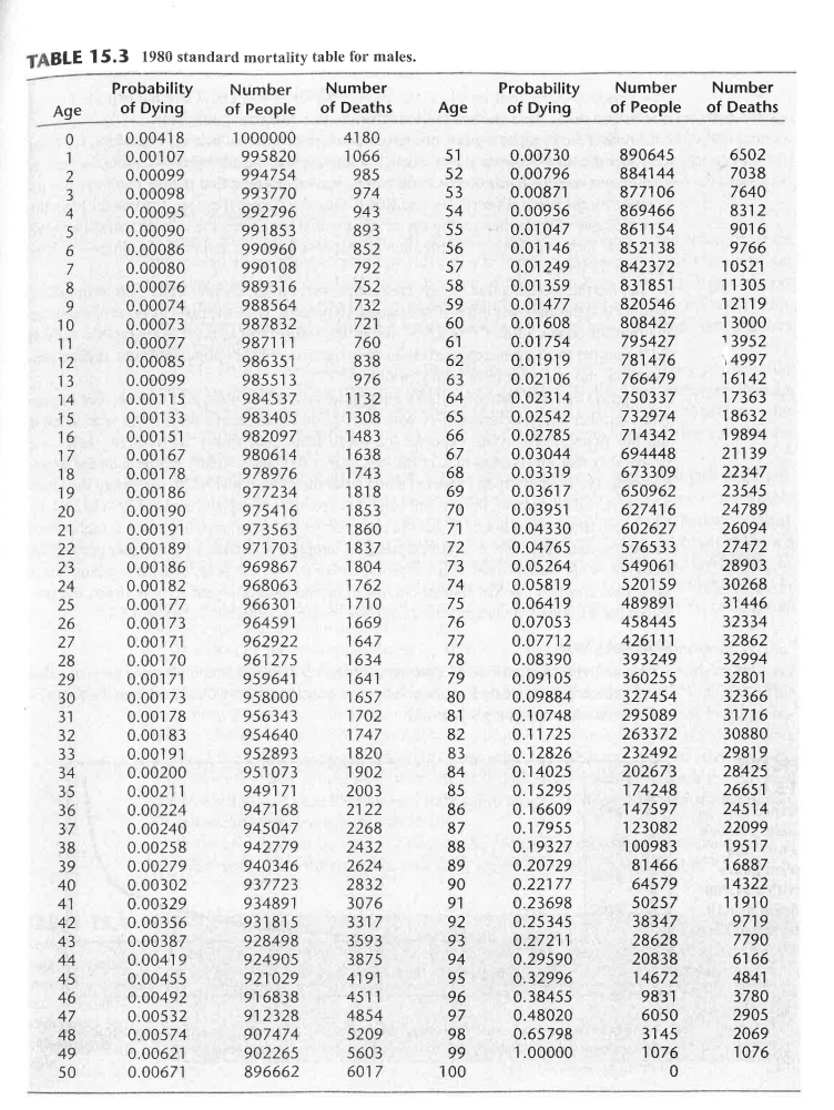
Question: 4. (25%) Using Table 15.3 given in Chapter 15, calculate the single premium for the four- year term life insurance policy with face amount equal


Step by Step Solution
There are 3 Steps involved in it
Get step-by-step solutions from verified subject matter experts
