Question: 3. (Dataset: GSS. Variables: polviews, femrole, wtss.) Why do some people hold more traditional views about the role of women in society and politics, whereas

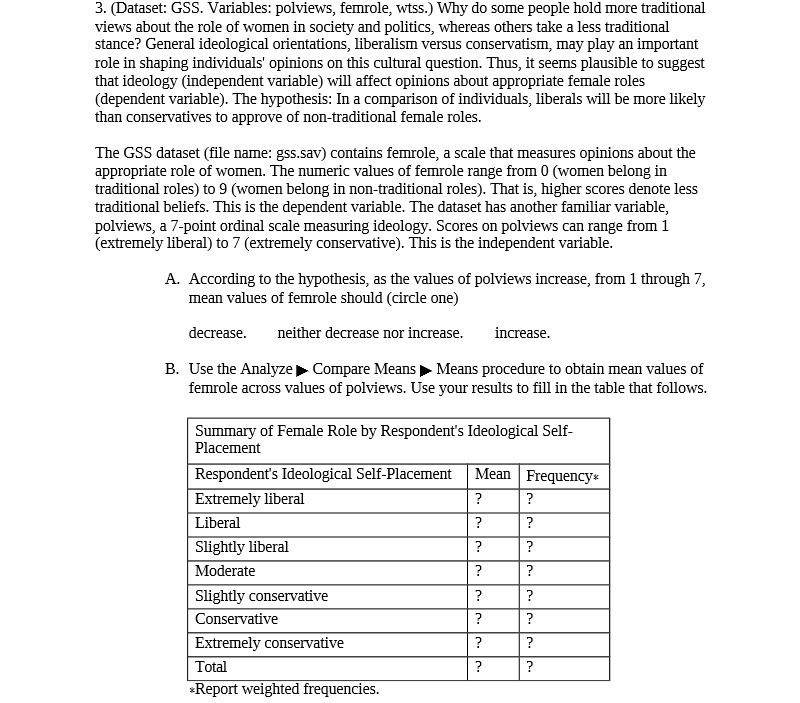
3. (Dataset: GSS. Variables: polviews, femrole, wtss.) Why do some people hold more traditional views about the role of women in society and politics, whereas others talre a less traditional stance? General ideological orientations, liberalism versus conservatism, may play an important role in shaping individuals' opinions on this cultural question. Thus, it seems plausible to suggest that ideology [independent variable) will affect opinions about appropriate female roles [dependent variable]. The hypothesis: In a comparison of individuals, liberals will be more likely than conservatives to approve of nontraditional female roles. The GSS dataset (le name: gss.sav) contains femrole, a scale that measures opinions about the appropriate role of women. The numeric values of ferruole range from t] (women belong in traditional roles) to 9 [women belong in nontraditional roles). That is, higher scores denote less traditional beliefs. This is the dependent variable. The dataset has another familiar variable, polviews, a T-point ordinal scale measuring ideology. Scores on polviews can range from 1 [extremely liberal) to T [extremely conservative]. This is the independent variable. it. According to the hypothesis, as the values of polviews increase, from 1 through E\
Step by Step Solution
There are 3 Steps involved in it
Get step-by-step solutions from verified subject matter experts
