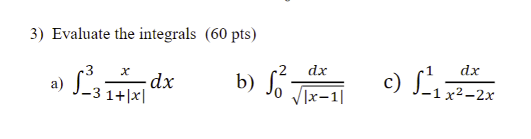
Question: 3) Evaluate the integrals (60 pts) dx dx 3 X dx b ) So c ) S a ) |x-1/ -1 x2-2x -31+x


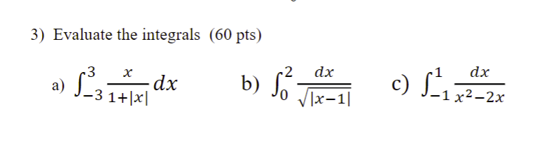
3) Evaluate the integrals (60 pts) dx dx 3 X dx b ) So c ) S a ) |x-1/ -1 x2-2x -31+x
Step by Step Solution
There are 3 Steps involved in it
1 Expert Approved Answer
Step: 1 Unlock
Question Has Been Solved by an Expert!
Get step-by-step solutions from verified subject matter experts
Step: 2 Unlock
Step: 3 Unlock
