Question: Integration :- 2. The velocity function for a particle moving in a straight line is given by f(t) = te3. Find the position function s(t)

Integration :-

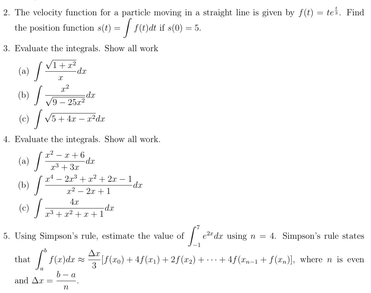
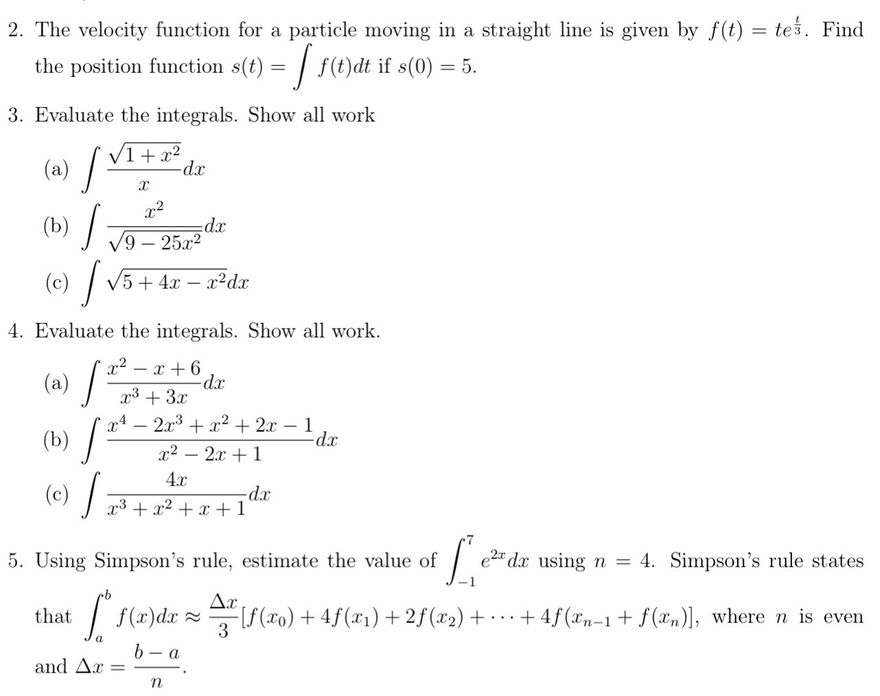
2. The velocity function for a particle moving in a straight line is given by f(t) = te3. Find the position function s(t) = / f(t) dt if s(0) = 5. 3. Evaluate the integrals. Show all work V1+ x2 (a) dx (b) dx V9 - 25x2 ( c ) V5+4x - x2dx 4. Evaluate the integrals. Show all work. x2 - x+6 (a) -dx 23 + 3x (b ) 24 - 2x3 + x2 + 2x-1 dx x2 - 2x +1 4x (c ) x3 +x2 + x+ 1 dx 5. Using Simpson's rule, estimate the value of e2* dax using n = 4. Simpson's rule states that 2 If(xo) + 4f(x]) + 2f(12) + ...+4f(xn-1+ f(x)], where n is even b - a and Ax = n
Step by Step Solution
There are 3 Steps involved in it
Get step-by-step solutions from verified subject matter experts
