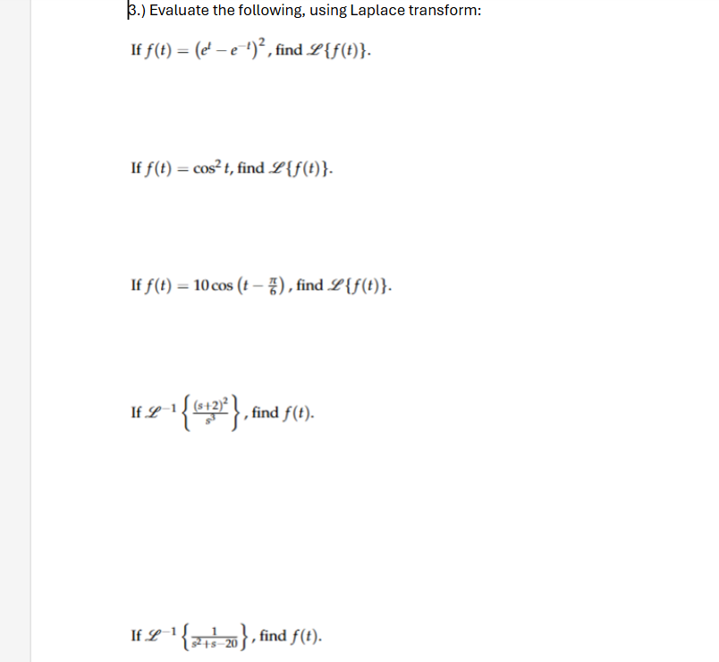
Question: 3 . f ( t ) = ( e t - e - t ) 2 , find L { f ( t ) }
find
find
find
find
find
Step by Step Solution
There are 3 Steps involved in it
1 Expert Approved Answer
Step: 1 Unlock
Question Has Been Solved by an Expert!
Get step-by-step solutions from verified subject matter experts
Step: 2 Unlock
Step: 3 Unlock
