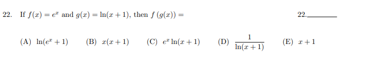
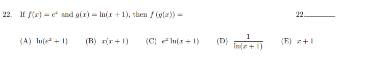
Question: 3. If, for all real numbers 3, f'fm) :> 0 and f[m) If, for all real numbers > 0 and r (r) < 0, which










3. If, for all real numbers 3, f'fm) :> 0 and f"[m)
If, for all real numbers > 0 and r (r) < 0, which of the following curves could be a part of the graph of f@)? (A) (D) (B) (E) (C)
Step by Step Solution
There are 3 Steps involved in it
Get step-by-step solutions from verified subject matter experts
