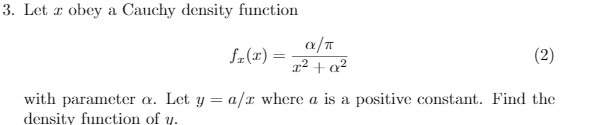
Question: 3. Let a obey a Cauchy density function (2) with parameter o. Let y = a/r where a is a positive constant. Find the density

3. Let a obey a Cauchy density function (2) with parameter o. Let y = a/r where a is a positive constant. Find the density function of v
Step by Step Solution
There are 3 Steps involved in it
Get step-by-step solutions from verified subject matter experts
