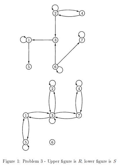
Question: 3. Let R and S be the binary relations on A={1,,7} with the graphical representations shown in Figure 1. (a) Indicate whether each of R


3. Let R and S be the binary relations on A={1,,7} with the graphical representations shown in Figure 1. (a) Indicate whether each of R and S is (i) symmetric, (ii) reflexive, and (iii) transitive. (b) Repeat (a) for the relation RS. Figure 1: Problem 3 - Upper figure is R, lower figure is S
Step by Step Solution
There are 3 Steps involved in it
Get step-by-step solutions from verified subject matter experts
