Question: Let R = {(a, c), (c, e), (e, e), (e, b), (d, b), (d, d) }. Draw directed graphs representing each of the following. 1.3.1.
Let R = {(a, c), (c, e), (e, e), (e, b), (d, b), (d, d) }. Draw directed graphs representing each of the following.


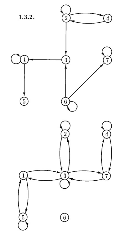
1.3.1. Let R = {(a,c), (c, e), (e, e), (e,b), (d,b), (d, d)}. Draw directed graphs rep- resenting each of the following. (a) R (b) R-1 (c) RUR-1 (d) ROR-1 1.3.2. Let R and S be the binary relations on A = {1,...,7} with the graphical representations shown in the next page. (a) Indicate whether each of R and S is (i) symmetric, (ii) reflexive, and (iii) transitive. (b) Repeat (a) for the relation RUS. 1.3.2. 4 3 5 6 2 3 6
Step by Step Solution
There are 3 Steps involved in it
Get step-by-step solutions from verified subject matter experts
