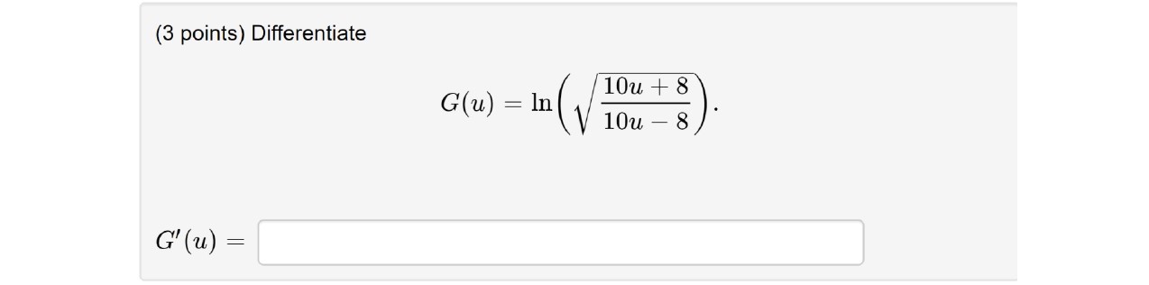
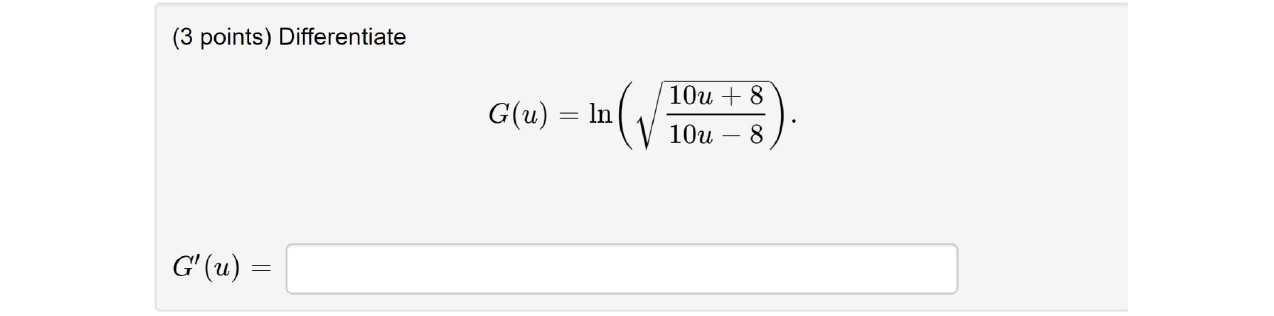
Question: (3 points) Differentiate 10u + 8 G(u) = In 10u - 8 G' (u) = (3 points) Differentiate In Iou 8


(3 points) Differentiate 10u + 8 G(u) = In 10u - 8 G' (u) =
(3 points) Differentiate In Iou 8
Step by Step Solution
There are 3 Steps involved in it
Get step-by-step solutions from verified subject matter experts
