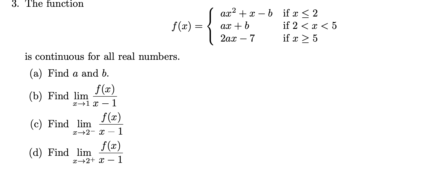
Question: 3. The function ax2 + 2 - b if a 5 is continuous for all real numbers. (a) Find a and b. (b) Find lim


3. The function ax2 + 2 - b if a 5 is continuous for all real numbers. (a) Find a and b. (b) Find lim f (a) x-1x- 1 (c) Find lim f (z) x-2- 20 - 1 (d) Find lim f (z) x-2+x-1
Step by Step Solution
There are 3 Steps involved in it
Get step-by-step solutions from verified subject matter experts
