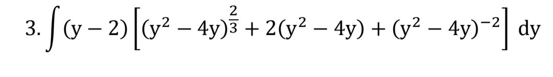
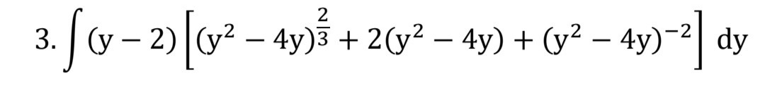
Question: 3. (y - 2) (y2 - 4y) 3 + 2(y2 - 4y) + (y2 - 4y) -2 dy 4y) + 2(y2 4y)-2 dy


3. (y - 2) (y2 - 4y) 3 + 2(y2 - 4y) + (y2 - 4y) -2 dy
4y) + 2(y2 4y)-2 dy
Step by Step Solution
There are 3 Steps involved in it
Get step-by-step solutions from verified subject matter experts
