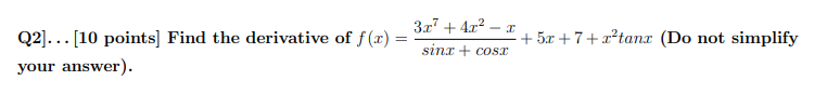
Question: 31 + 4r' - x Q2]. . . [10 points] Find the derivative of f (r) = + 5r +7+ r-tans (Do not simplify sint
![31 + 4r' - x Q2]. . . [10 points] Find](https://s3.amazonaws.com/si.experts.images/answers/2024/06/6660ef7f00f30_7986660ef7ed8d59.jpg)

![simplify sint + COST your answer).Q6]. .. [10 points] Solve the following](https://s3.amazonaws.com/si.experts.images/answers/2024/06/6660ef7f8ee59_7996660ef7f7ce26.jpg)

31 + 4r' - x Q2]. . . [10 points] Find the derivative of f (r) = + 5r +7+ r-tans (Do not simplify sint + COST your answer).Q6]. .. [10 points] Solve the following differential equation y' = (x + 5)(5y + 7)
Step by Step Solution
There are 3 Steps involved in it
Get step-by-step solutions from verified subject matter experts
