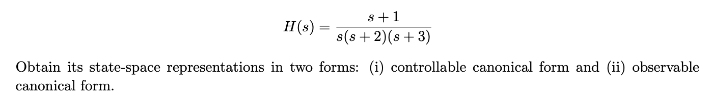
Question: 3+1 H) = 5(3 + 2)(s + 3) Obtain its state-Space representations in two forms: (i) controllable canonical form and (ii) observable canonical form

Step by Step Solution
There are 3 Steps involved in it
1 Expert Approved Answer
Step: 1 Unlock
Question Has Been Solved by an Expert!
Get step-by-step solutions from verified subject matter experts
Step: 2 Unlock
Step: 3 Unlock
