Question: 3.1.3 (a) E(X) = 173/12 (b) E(Y) = 11 (c) E(X) = 19 (d) E(Y) = 370/3 (e) E(X+Y2) = 427/3 (f) E(XY 4Y)



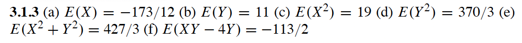
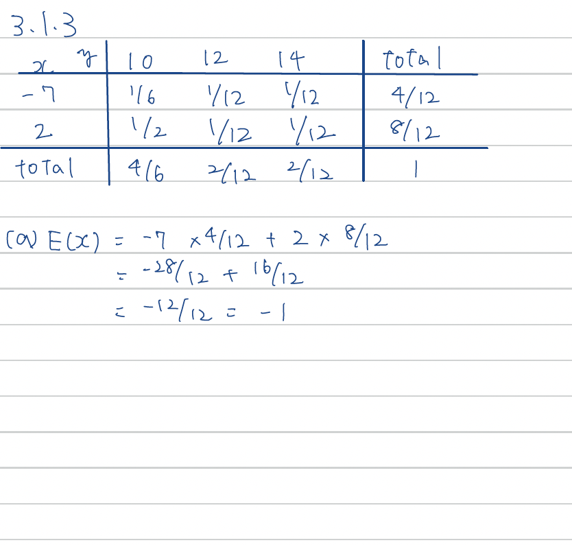
3.1.3 (a) E(X) = 173/12 (b) E(Y) = 11 (c) E(X) = 19 (d) E(Y) = 370/3 (e) E(X+Y2) = 427/3 (f) E(XY 4Y) = 113/2 3.1.2 Let X and Y have joint probability function given by 1/7 x = 5, y = 0 1/7 x = 5, y = 3 1/7 x = 5, y = 4 PX,Y (x, y) = 3/7 x = = 8, y = 0 1/7 0 x = 8, y = 4 otherwise, as in Example 2.7.5. Compute each of the following. (a) E(X) (b) E(Y) (c) E(3X+7Y) (d) E(X) (e) E(Y) (f) E(XY) (g) E(XY+14) 3.1.3 Let X and Y have joint probability function given by 1/2 x = 2, y = 10 1/6 x = 7, y = 10 1/12 x = 2, y = 12 PX,Y (x, y) = == 1/12 x = 7, y = 12 1/12 x = 2, y = 14 1/12 x = 7, y = 14 0 otherwise. Compute each of the following. (a) E(X). (b) E(Y) (c) E(X) (d) E(Y) (e) E(X + Y) (f) E(XY 4Y) 3.1.2 320 3 4 Tota 2=5 17 17 1/73/7 8 3/7 1/74/7 Total 4/7 1/72/7 =4767 (a) 5x3/7+8x4/7=15/7+32/7 (b) 0x417 + 3117+4+2/7 = 3/7+ 8/7 (c) E (3x+77) = 3477 + 7x 1/7 = 11/7 = 141/7+77/7 =218/7 (d) E (x) (e) E (32) = = = 52 x 3/7 + 8 4/7 = 75/7+256/7 = 331/7 0 + 3 1/7 +4 27 9/7+32/7 = 41/7 (f) E (x) = 5x0x17+5x3x 1/7 + 5 x 4 x 1/7 = 15/7 +20/7 +32/7 (8) EGC7 +14) = EGZ) +E (14) = 67/7+14 = 165/7 = 67/7 3.1.3 01 h C 12 14 Total -7 1/6 11/12 1/12 4/12 2 1/2 1/12 1/12 8/12 total 4/6 2/12 2/12 1 (0) E(X) -7 x 4/12 + 2 x 8/12 -28/12+16/12 = -12/12 = -1
Step by Step Solution
There are 3 Steps involved in it
Get step-by-step solutions from verified subject matter experts
