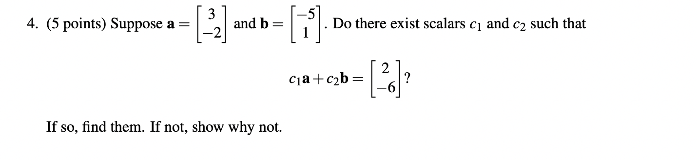
Question: 4. (5 points) Suppose a = [32] and b = [15] . D0 there exist scalars c1 and c2 such that 613+ ('21) = [26]
![4. (5 points) Suppose a = [32] and b = [15] . D0](https://dsd5zvtm8ll6.cloudfront.net/si.experts.images/questions/2025/02/67a88c5fe954b_23167a88c5fbe4ef.jpg)
Step by Step Solution
There are 3 Steps involved in it
1 Expert Approved Answer
Step: 1 Unlock
Question Has Been Solved by an Expert!
Get step-by-step solutions from verified subject matter experts
Step: 2 Unlock
Step: 3 Unlock
