Question: # 4 - 8 McWherter Instruments sold $ 4 8 0 million of 1 0 % bonds, dated January 1 , on January 1 ,
# McWherter Instruments sold $ million of bonds, dated January on January
The bonds mature on December years
For bonds of similar risk and maturity, the market yield was
Interest is paid semiannually on June and December
Blanton Technologies, Incorporated, purchased $ of the bonds as a longterm investment.
Required:
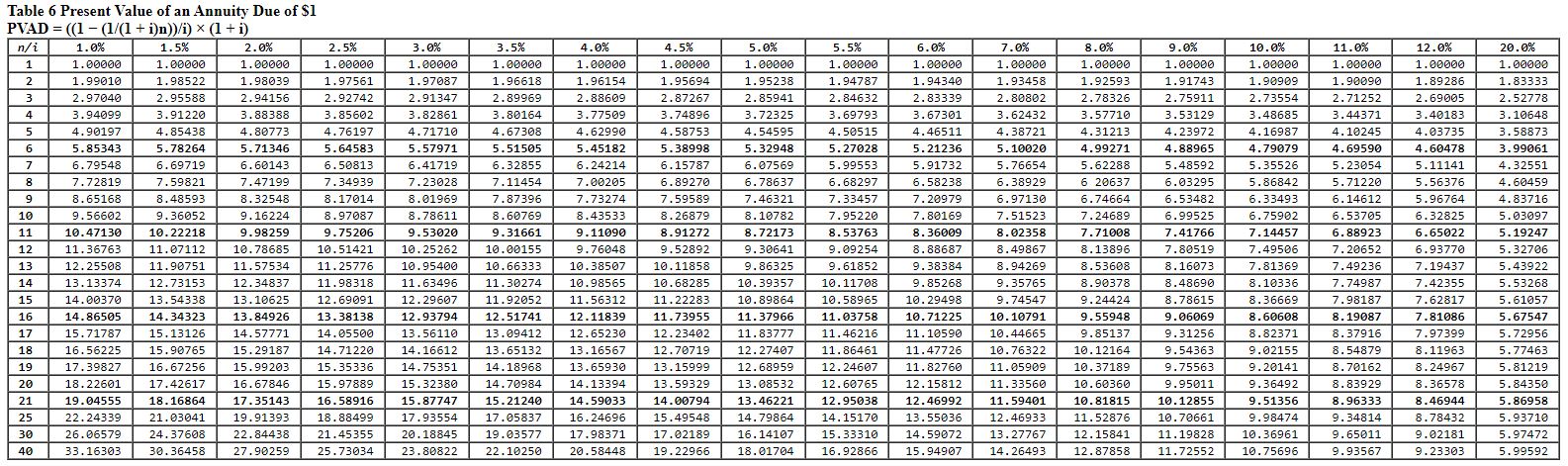
Determine the price of the bonds issued on January
Prepare the journal entries to record a their issuance by McWherter and b Blanton's investment on January
Prepare the journal entries by a McWherter and b Blanton to record interest on June at the effective rate
Prepare the journal entries by a McWherter and b Blanton to record interest on December at the effective rate
Step by Step Solution
There are 3 Steps involved in it
1 Expert Approved Answer
Step: 1 Unlock
Question Has Been Solved by an Expert!
Get step-by-step solutions from verified subject matter experts
Step: 2 Unlock
Step: 3 Unlock
