Question: 4. ENTITY-RELATIONSHIP MODEL: a. Create the Relational Schema for all the 3NF tables. b. Using Chen notation, create an ERD showing all the 3NF tables.

4. ENTITY-RELATIONSHIP MODEL:
a. Create the Relational Schema for all the 3NF tables.
b. Using Chen notation, create an ERD showing all the 3NF tables. You must show the entities, relationships, connectivity, participation, and cardinality (it is not necessary to show the attributes on the ERD).
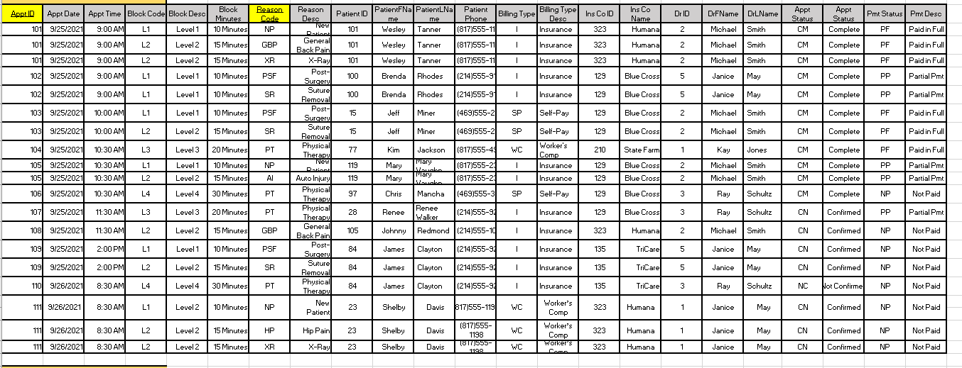
IT SHOULD LOOK LIKE THIS 

PatientFNa PatientLNa Patient Billing Type Billing Type Ins Cold Dr ID DIFName DrLName Pmt Status | Pmt Deso Reason Code NP me Desc Block Appt ID Appt Date Appt Time Block Code Blook Desc Minutes 101 9/25/2021 9:00 AM L1 Level 1 10 Minutes 101 9/25/2021 9:00 AM L2 Level 2 15 Minutes me Tanner Phone (817)555-11 Ins Co Name Humana Appt Status Appt Status Complete Wesley 1 Insurance 323 2 Michael Smith PF Paid in Full GBP Wesley Tanner (817)555-111 1 Insurance 323 Humana 2 Michael Smith CM Complete PF Paid in Full 101 9/25/2021 9:00 AM L2 Level 2 15 Minutes XR Wesley Tanner (817)555-11 | Insurance 323 Humana 2 Michael Smith Complete PF Paid in Ful 1021 9/25/2021 9:00 AM L1 Level 1 10 Minutes PSF Brenda Rhodes (214)555-9 I Insurance 129 Blue Cross 5 Janice May CM Complete PP Partial Pmt 102 9/25/2021 9:00 AM L1 Level 1 10 Minutes SR Brenda Rhodes (214)555-9 1 Insurance 129 Blue Cross 5 5 Janice May CM Complete PP Partial Pmt 103 9/25/2021 10:00 AM L1 Level 1 10 Minutes PSF Jeff Miner (469)555-2 SP Self-Pay 129 Blue Cross 2 Michael Smith CM Complete PF Paid in Full 103 9/25/2021 10:00 AM L2 Level 2 15 Minutes SR Jeff Miner (469)555-2 SP Self-Pay 129 Blue Cross 2 Michael Smith CM Complete PF Paid in Full 1041 9/25/2021 10:30 AM L3 Level 3 20 Minutes PT Kim Jackson (817)555-49 WC 210 State Farm 1 1 Jones CM PF Paid in Full Worker's Comp Insurance Reason Patient ID Dese New 101 Part General 101 Back Pain X-Ray 101 Post-1 100 Surgery Suture 100 Removal Post- 15 Surgery Suture 15 Removal Physical 77 Therapy New 119 Auto Injury 119 Physical 97 Therapy Physical 28 Therapy General 105 Back Pain Post-1 84 Surgery Suturel 84 Removal Physical 84 Therapy New 23 Patient Level 1 NP Mary 10 Minutes Mary I 129 Blue Cross 2 Smith 105| 9/25/2021 105 9/25/2021 PP 10:30 AM 10:30 AM L1 L2 Complete Complete Complete (817)555-2 (817)555-2 Mary Michael Michael Partial Pmt Partial Pmt Level 2 15 Minutes AL Mary 1 1 Insurance 129 Blue Cross 2 Smith CM PP nal Mancha 106 9/25/2021 10:30 AM L4 Level 4 30 Minutes PT Chris (469)555-3 SP Self-Pay 129 Blue Cross 3 Ray Schultz CM Complete NP Not Paid 107 9/25/2021 11:30 AM L3 Level 3 20 Minutes PT Renee 1 Insurance 129 Blue Cross 3 Ray Schultz CN Confirmed PP Partial Pmt Renee (214)555-9 Walker Redmond (214)555-10 108 9/25/2021 11:30 AM L2 Level 2 15 Minutes GBP Johnny 1 Insurance 323 Humana 2 Michael Smith CN Confirmed NP Not Paid 109 9/25/2021 2:00 PM L1 Level 1 10 Minutes PSF James Clayton (214)555-94 1 Insurance 135 TriCare 5 Janice May CN Confirmed NP Not Paid 109 9/25/2021 2:00 PM L2 Level 2 15 Minutes SR James Clayton (214)555-9 1 Insurance 135 TriCare 5 5. Janice May CN Confirmed NP Not Paid 110 9/26/2021 8:30 AM L4 Level 4 30 Minutes PT James Clayton (214)555-9. 1 Insurance 135 TriCare 3 Ray Schultz NC Hot Confirmel NE Not Paid 111 9/26/2021 Worker's 8:30 AM L1 Level 2 10 Minutes NP Shelby Davis 317)555-119 WC 323 Humana 1 Janice May CN Confirmed NP Not Paid Comp 111 9/26/2021 8:30 AM L2 Level 2 15 Minutes HP Hip Pain 23 Shelby Davis WC 323 Humana 1 Janice May CN Confirmed NP Not Paid (817)555- 1198 TOT71555- 199 Worker's Comp Worker's Tam- 111 9/26/2021 8:30 AM L2 Level 2 15 Minutes XR X-Ray 23 Shelby Davis WC 323 Humana 1 1 Janice May CN Confirmed NP Not Paid 4a. Relational Schema ROOMDETAIL RESERVATIONDETAIL 7 RoomNum Room Type RoomTypeID ResNum Checkin Checkout Custid AgentID CUSTOMERDETAIL CustID CustF_Name CustL_Name CustPhone CustTypeID LoyaltyID GuestCount RateTypeID HOTELRESERVATIONS ROOMTYPE RoomTypeID RoomDesc AGENTDETAIL AgentiD Agent Name AgentL_Name AgentTypeID Res Num 7 RoomNum Rate Amt RATETYPE RateTypeID RateDesc CUSTOMERTYPE CustTypeID CustDesc AGENTTYPE AgentTypeID AgentDesc 4b Chen Notation ERD N HOTELRESERVATIONS contains CUSTOMERTYPE confirms (1,1) (1,1) N (1,1) N (1,1) (ON) N has CUSTOMER DETAIL is assigned (1,1) ROOMDETAIL 1 (ON) N (1,1) 1 (ON) 1 (1,1) N RESERVATION DETAIL is assigned to contains RATETYPE (1,1) N (ON) 1 (ON) ROOMTYPE has 1 (1,1) N AGENTDETAIL belongs to 1 (ON) AGENTTYPE (1,1)