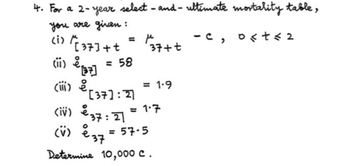
Question: 4. For a 2- year select - and- ultimate mortality table, you are given : (i) M = / - C. oct2 [ 37] +

Step by Step Solution
There are 3 Steps involved in it
1 Expert Approved Answer
Step: 1 Unlock
Question Has Been Solved by an Expert!
Get step-by-step solutions from verified subject matter experts
Step: 2 Unlock
Step: 3 Unlock
