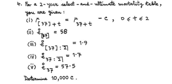
Question: Please Solve the following Problem. Thanks 4. For a 2-year select - and - ultimate mortality table, you are given: (i) [37]+t=37+tc,0t2 (ii) e[37]=58 (iii)
4. For a 2-year select - and - ultimate mortality table, you are given: (i) [37]+t=37+tc,0t2 (ii) e[37]=58 (iii) [37]:2]=1.9 (iv) e37:=1.7 (iv) e37=57.5 Determine 10,000c
Step by Step Solution
There are 3 Steps involved in it
Get step-by-step solutions from verified subject matter experts
