Question: 4) Listed below is a Frequency Table, the data represents the years of experience that the New York Yankees baseball players have. a) State the






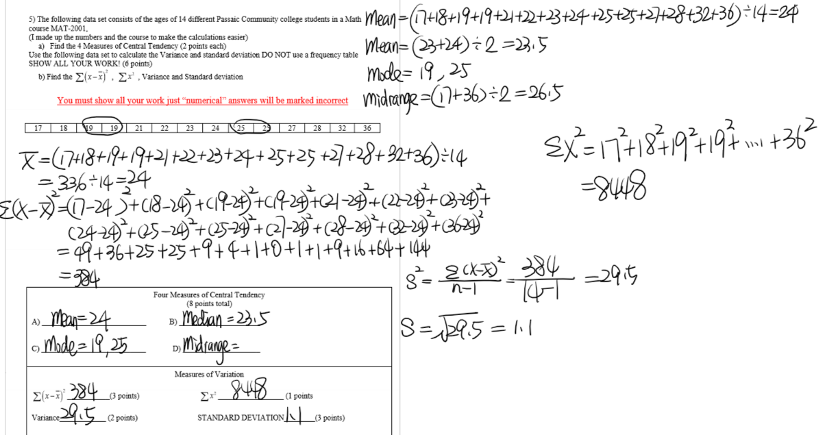
4) Listed below is a Frequency Table, the data represents the years of experience that the New York Yankees baseball players have. a) State the class width and state the values for x = and y= (3 points) b) It the sum of the frequency (n) is 55 (n = 55 ) state the value of z= (2 points) c) Create a Frequency Histogram using boundaries (4 points), please clearly label axis. d) On the same graph as (c) create a Frequency polygon (2 points) e) Create an O-jive graph (please clearly label axis) (4 points) Lower Class Limit Upper Class Limit Frequency 0 4 2 5 10 x 11 15 19 O 24 Z 25 29 255) The following data set consists of the ages of 14 different Passaic Community college students in a Math course MAT-2001, (I made up the numbers and the course to make the calculations easier) 3) Find the 4 Measures of Central Tendency (2 points each) Use the following data set to calculate the Variance and standard deviation DO NOT use a 'equency table snow ALL YOUR WORK! (6 points) b) Find the 2p: J)? , 2x2 , Variance and Standard deviation You must show all your work just \"numerical\" answers will be marked incorrect 1?|181919|2122 23 24|25 25 27|28|32 36 Four Measures of Central Tendency (8 points total) B} D) Measures of Variation 2(x ;)2 (3 points) 2 x2 (1 Points Variance (2 points} STANDARD DEVIATION (3 points) 6) Use the Frequency Table to nd the Mean, Variance and the Standard Deviation You must show all your work just \"numerical\" answers will be marked incorrect Lower Upper Class Class Boundary Boundary Frequency.r 0.5 '1' .5 2.5 14.5 14.5 21.5 21.5 28.5 28.5 35.5 35.5 42.5 (3 points) STANDARD DEVIATION (4 points) 4) Listed below is a Frequency Table, the data represents the years of experience that the New York Yankees baseball players have. a) State the class width and state the values for x = _and >- 20 (3 points) b) It the sum of the frequency (n) is 55 (n = 55) state the value of = =_ 16 _(2 points)
Step by Step Solution
There are 3 Steps involved in it
Get step-by-step solutions from verified subject matter experts
