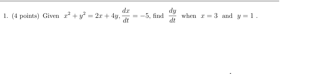
Question: ( 4 points ) Given x 2 + y 2 = 2 x + 4 y , d x d t = - 5 ,
points Given find when and
Step by Step Solution
There are 3 Steps involved in it
1 Expert Approved Answer
Step: 1 Unlock
Question Has Been Solved by an Expert!
Get step-by-step solutions from verified subject matter experts
Step: 2 Unlock
Step: 3 Unlock
