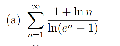
Question: 4. Use a comparison test to determine Whether the series converges or diverges. 4. Use a comparison test to determine whether the series converges or




4. Use a comparison test to determine Whether the series converges or diverges.
4. Use a comparison test to determine whether the series converges or diverges.
Step by Step Solution
There are 3 Steps involved in it
Get step-by-step solutions from verified subject matter experts
