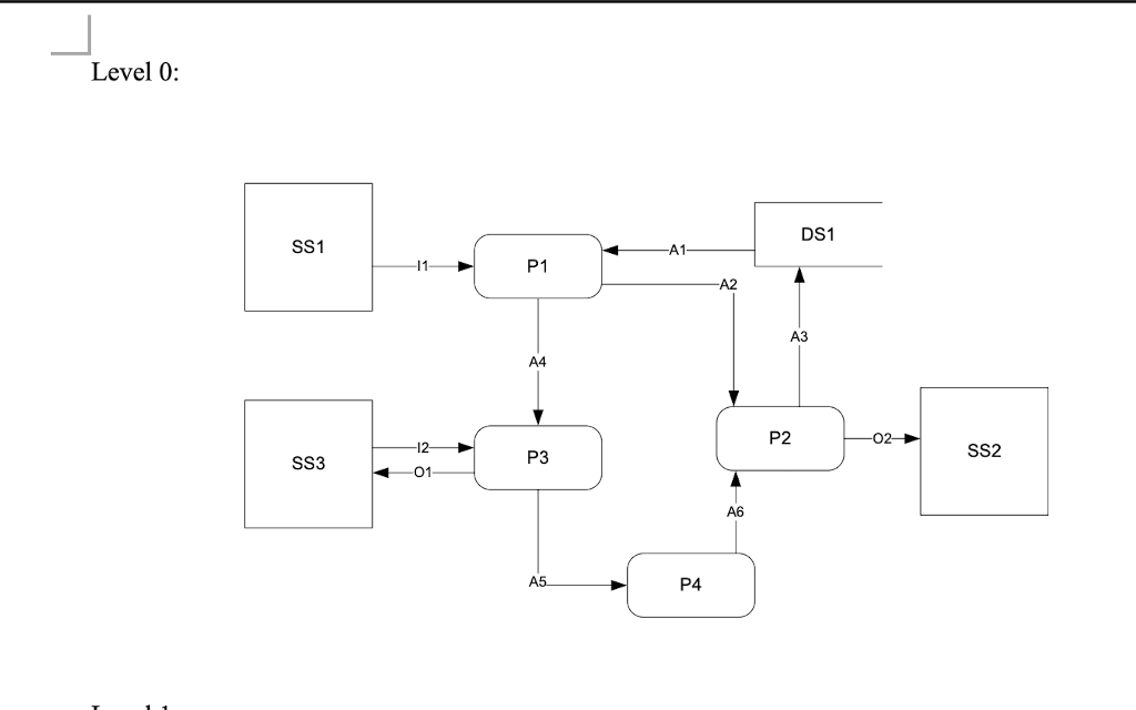
Question: 4. Using the DFD rules listed in the book, identify four errors on the following Level 1 and Level 2 diagrams. List ONLY three! All
4. Using the DFD rules listed in the book, identify four errors on the following Level 1 and Level 2 diagrams. List ONLY three! All past three will not be graded. Note: For the purpose of this exercise, disregard the naming conventions for data flows, processes, etc.; do not list this as an error.
1.
2.
3.



Step by Step Solution
There are 3 Steps involved in it
Get step-by-step solutions from verified subject matter experts
