Question: 4 x ? 3 xe dx Vitx x ? 0 a ] a ) 2 2 5 ) 2 /3 ( 1 + 2 )

![] a ) 2 2 5 ) 2 /3 ( 1 +](https://s3.amazonaws.com/si.experts.images/answers/2024/06/66613515073e4_61266613514d7543.jpg)
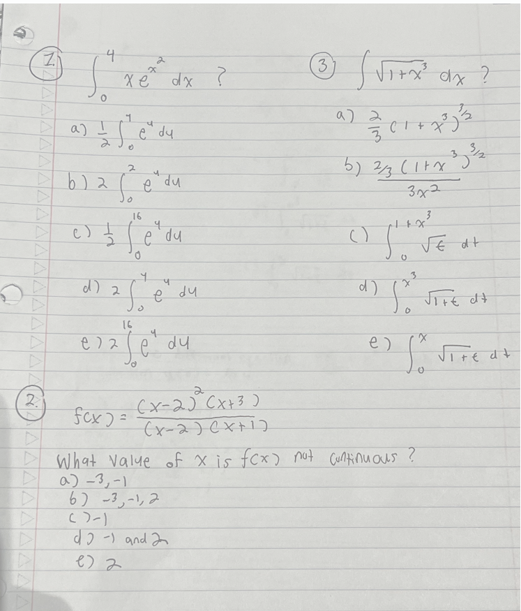
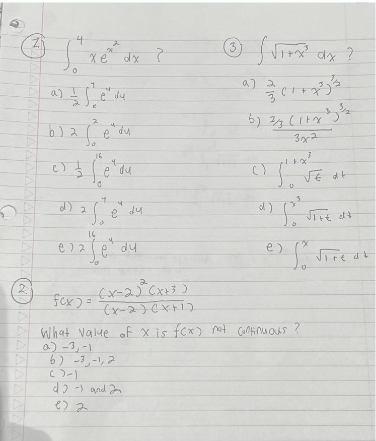
4 x ? 3 xe dx Vitx x ? 0 a ] a ) 2 2 5 ) 2 /3 ( 1 + 2 ) 3 /2 2 b ) 2 ( e du 3 0 2 16 ( ) be du ( ) 2 6 e " dy 3 d ) JitE dt 16 e )2 le dy e ) X Jo Vite at 2. fcx ) = ( x - 2) ( X + 3 ) D ( x - 2 ) ( x + 1 ) What Value of X is fox) not continuous ? D a ) - 3 , - 1 67 - 3, - 1, 2 ( ) - 1 2 - 1 and 2
Step by Step Solution
There are 3 Steps involved in it
Get step-by-step solutions from verified subject matter experts
