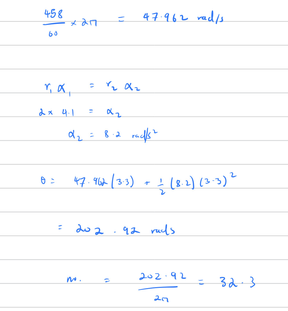
Question: 458 = 47.962 rad/s 60 = r, , 2x 4.1 = 2 = 22 8.2 rad/s2 0 = 47.962 (3-3) + (8.2) (3-3) 2

458 = 47.962 rad/s 60 = r, , 2x 4.1 = 2 = 22 8.2 rad/s2 0 = 47.962 (3-3) + (8.2) (3-3) 2 = 202 .92 ruds n. 202.92 = 32.3 27 Half of a belt - pulley arrangement is shown below. At the instant shown, the pulley D is rotating clockwise at 458 rpm and pulley C has a constant instantaneous angular acceleration of 4.1 rad/s^2, also clockwise. Calculate how many turns pulley D will have made from its starting position (at the instant shown) after a further 3.3 seconds, to one decimal place. Express your answer as a magnitude only (no positive or negative sign). Do not write any units with your answer. Pz 50 mm 100 mm A B
Step by Step Solution
There are 3 Steps involved in it
Get step-by-step solutions from verified subject matter experts
