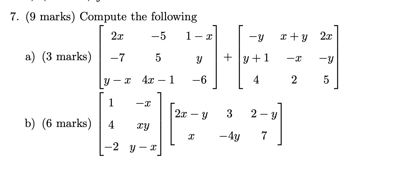
Question: 5. (18 marks) Consider the problem max 3z +4y subject to 5z + 2y% = 10 (a) (3 marks) Write down the Lagrangian for this


5. (18 marks) Consider the problem max 3z +4y subject to 5z + 2y% = 10 (a) (3 marks) Write down the Lagrangian for this problem. (b) (9 marks) Write down the first order conditions for the optimisation problem and find all values of z and y that satisfy those first order conditions. (c) (6 marks) Check the second order conditions to classify the solution(s) you found in part (b). Do these values of x and y solve the problem? 6. (15 marks) Find the following integrals a) (6 marks) [z%e* dx b) (3 marks) j [723 4z + 1] dz c) (6 marks) _f24a:e5md$ \f
Step by Step Solution
There are 3 Steps involved in it
Get step-by-step solutions from verified subject matter experts
