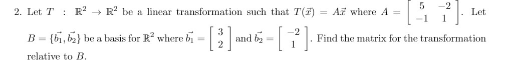
Question: 5 2 _1 l ]. Let 3 2 2. Let T : 1R2 ) R2 be a linear transformation such that TU) = Arr3' where
![5 2 _1 l ]. Let 3 2 2. Let T](https://dsd5zvtm8ll6.cloudfront.net/si.experts.images/questions/2024/10/67126ab789ec6_21567126ab774ca5.jpg)
5 2 _1 l ]. Let 3 2 2. Let T : 1R2 ) R2 be a linear transformation such that TU") = Arr3' where A = [ B = {b1 b3} be a basis for 23.2 where b: = [ J and b; = [ 12 Find the matrix for the transformation relative to B
Step by Step Solution
There are 3 Steps involved in it
Get step-by-step solutions from verified subject matter experts
