Question: 5. [20 points) Multiple Regression Eagle Pharmaceuticals is concerned about the complacency that seems to exist among the more experienced sales personnel employed by the






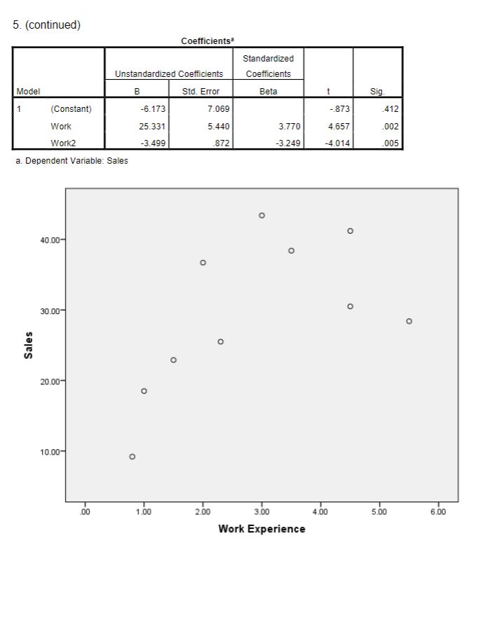
5. [20 points) Multiple Regression Eagle Pharmaceuticals is concerned about the complacency that seems to exist among the more experienced sales personnel employed by the firm. Eagle has noticed that, up to a point. sales tend to level off with experience and. in some cases. even to decrease. To investigate this phenomenon. Eagle has recorded the territory sales over the past three months and the work experience for ten of the finn's sales personnel (the data are given in the table below}. y 3: Sales (3 1.000} Experience (yrs) 38.? 2 22.9 1.5 30.5 4.5 9.2 0.8 38.4 3.5 41.2 4.5 18.5 1 43.4 3 25.5 2.3 28.4 5.5 Eagle has hypothesized the following model _'t' = : x+ ll-2 + a between territory sales and years of work experience. SPSS is used to t this model and the output from 8358 is given below and on the next page. The independent variablexis denoted by Work and the independent variable x3 is denoted by Won-
Step by Step Solution
There are 3 Steps involved in it
Get step-by-step solutions from verified subject matter experts
