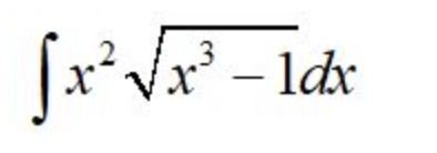
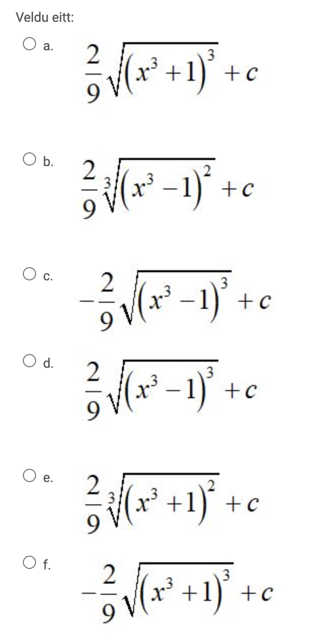
Question: 5. Complete the following function using object integration. fVeldu eitt: 2x + C O a. xe 2x - e Ob. xe -2x e -2x +
5. Complete the following function using object integration.






Step by Step Solution
There are 3 Steps involved in it
1 Expert Approved Answer
Step: 1 Unlock
Question Has Been Solved by an Expert!
Get step-by-step solutions from verified subject matter experts
Step: 2 Unlock
Step: 3 Unlock
