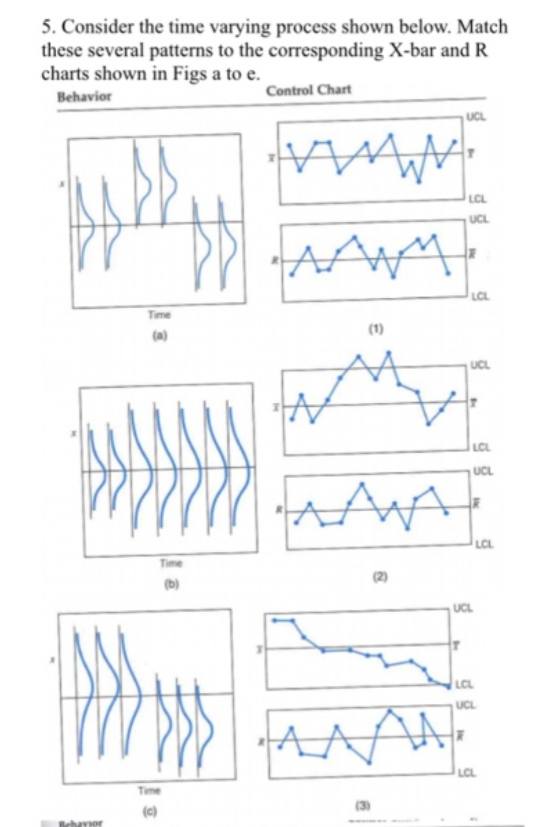
Question: 5. Consider the time varying process shown below. Match these several patterns to the corresponding X-bar and R charts shown in Figs a to e.


5. Consider the time varying process shown below. Match these several patterns to the corresponding X-bar and R charts shown in Figs a to e. Behavior Control Chart LCL UCL M LCL Time (1) UCL LCL UCL LCL ( b ) (2) UCL LCL UCL LCL Time (c) (3)UCL LCL UCL LCL Time (d) (4) UCL LOL UCL LCL Time (e)
Step by Step Solution
There are 3 Steps involved in it
Get step-by-step solutions from verified subject matter experts
