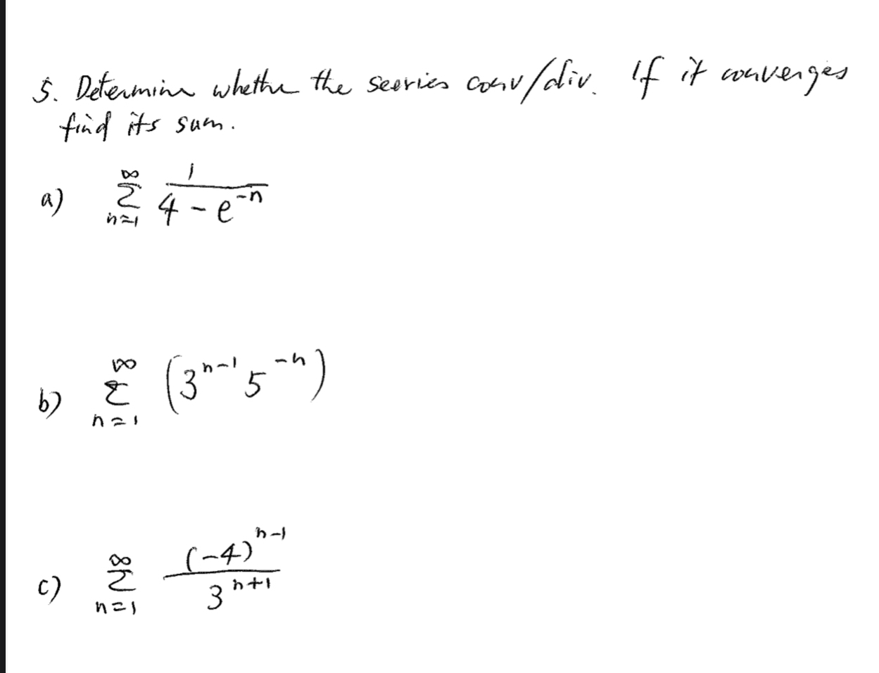
Question: 5. Determine whether the servies conv / div. If it converges find its sum. DO a) 2 4 - pan b) (3 '5 Th

5. Determine whether the servies conv / div. If it converges find its sum. DO a) 2 4 - pan b) (3 " '5 Th ) h 2 h - 1 ( - 4) C) 3 h+1
Step by Step Solution
There are 3 Steps involved in it
Get step-by-step solutions from verified subject matter experts
