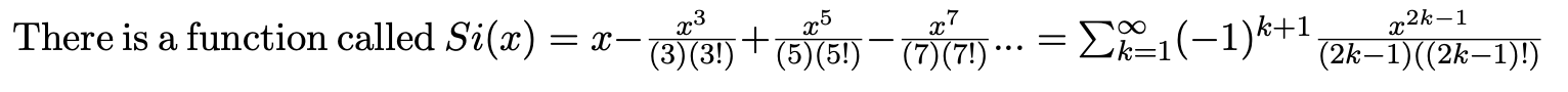
Question: 5. Find the series for Sm) Also, write down the rst 3 nonzero terms. There is a function called Si(x) = x- 2-5 (3) (3!)




5. Find the series for Sm) Also, write down the rst 3 nonzero terms. There is a function called Si(x) = x- 2-5 (3) (3!) (5) (5!) (7) (71) ... = EX-1(-1) *+1 x2k-1 (2k-1) ((2k-1)!)
Step by Step Solution
There are 3 Steps involved in it
Get step-by-step solutions from verified subject matter experts
