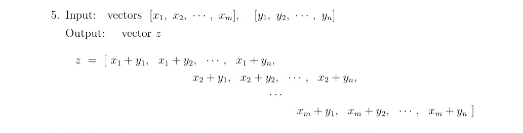
Question: 5 . In python, Input: vectors [ x 1 , x 2 , , xm ] , [ y 1 , y 2 , ,
In python, Input: vectors x x xmy y ynOutput: vector zz x y x y x ynx y x y x ynxm y xm y xm yn Input: vectors cdots,cdots,
Output: vector
Step by Step Solution
There are 3 Steps involved in it
1 Expert Approved Answer
Step: 1 Unlock
Question Has Been Solved by an Expert!
Get step-by-step solutions from verified subject matter experts
Step: 2 Unlock
Step: 3 Unlock
