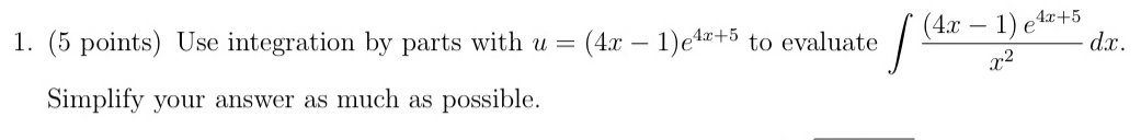
Question: ( 5 points ) Use integration by parts with u = ( 4 x - 1 ) e 4 x + 5 to evaluate (
points Use integration by parts with to evaluate Simplify your answer as much as possible.
integration strategies we know so far are: substitution, integration by parts, trig integrals, and partial fractions.
Step by Step Solution
There are 3 Steps involved in it
1 Expert Approved Answer
Step: 1 Unlock
Question Has Been Solved by an Expert!
Get step-by-step solutions from verified subject matter experts
Step: 2 Unlock
Step: 3 Unlock
