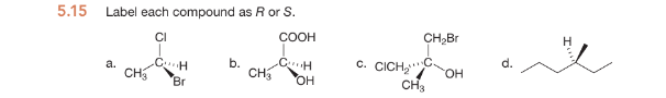
Question: 5.15 Label each compound as Ror S. CI COOH CH,Br a. CH b. CH CH CHS C. CICH, CH3 OH Br OH

5.15 Label each compound as Ror S. CI COOH CH,Br a. CH b. CH CH CHS C. CICH, CH3 OH Br OH
Step by Step Solution
There are 3 Steps involved in it
1 Expert Approved Answer
Step: 1 Unlock
Question Has Been Solved by an Expert!
Get step-by-step solutions from verified subject matter experts
Step: 2 Unlock
Step: 3 Unlock
