Question: 6. One Sided Hypothesis Null:Mean yield in a pod is 40 beans. Null: 40 beans in a pod. Alt: based on 100 sampling, yield is
6. One Sided Hypothesis Null:Mean yield in a pod is 40 beans.
Null: 40 beans in a pod.
Alt: based on 100 sampling, yield is higher than 40 beans.
Alt: > 40 beans in a pod.
Beyond Chocolate - Cocoa beans and Chocolate - Supply Chain Logistics
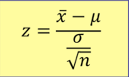
(50 -40)/5/sqrt(100)
Ghana in West Africa has the best climatic conditions to grow Cocoa.High Quality and well dried beans are exported to Belgium to produce one of the finest Chocolates.It is estimated 400 dried beans are required to make one pound (454 grams) of chocolate.
Z = 20
Z = 1.65
Horticulture studies have shown that Population mean yield is 40 beans with a standard deviation of 5 beans in a pod.Last year, with high Humidity and good amount of rainfall,Sampling 100 Cocoa plantations, sample mean yield of 50 beans in a pod.
Z statistical is 20 is higher than Z critical 1.65
Use the0.10 significance level, to test the Hypothesis has the yield higher than the average?
reject the Null Hypothesis.
accept the alternate Hypothesis at 90% confidence.
State the Null and alternate Hypothesis.
Use the Z statistical modeling.
Conclude the Hypothesis at 0.01 significance level and from the p value.

\f
Step by Step Solution
There are 3 Steps involved in it
Get step-by-step solutions from verified subject matter experts
