Question: [6 points each] A coffee shop manager realizes that demand for coffee is more elastic among students, and is trying to determine the optimal pricing
![[6 points each] A coffee shop manager realizes that demand for](https://s3.amazonaws.com/si.experts.images/answers/2024/06/66782ba998fd5_52966782ba9779ef.jpg)
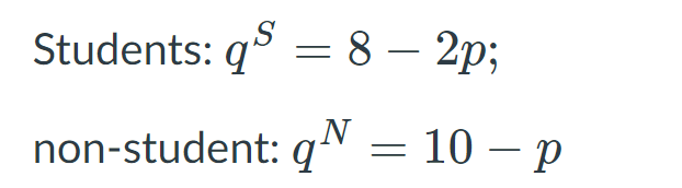
[6 points each]
A coffee shop manager realizes that demand for coffee is more elastic among students, and is trying to determine the optimal pricing schedule. Specifically, she estimates the following average demands:


\fThe two groups visit the coffee shop in equal numbers on average. Assume that the marginal cost for coffee is $2 and there is no xed cost. 1, Assume that students can buy a cup of coffee at a discounted price p3 by showing their student ID card and non-students can buy it at a normal price pN . What price should be set for each group? 2, If the coffee shop cannot distinguish whether customers are students or not, what is the optimal single price pU
Step by Step Solution
There are 3 Steps involved in it
Get step-by-step solutions from verified subject matter experts
