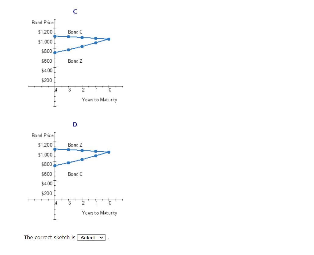
Question: 6. Problem 7.06 (Bond Valuation) eBook Problem Walk-Through An investor has two bonds in her portfolio, Bond C and Bond Z. Each bond matures in


6. Problem 7.06 (Bond Valuation) eBook Problem Walk-Through An investor has two bonds in her portfolio, Bond C and Bond Z. Each bond matures in 4 years, has a face value of $1,000, and has a yield to maturity of 8.7%. Bond C pays a 10.5% annual coupon, while Bond Z is a zero coupon bond a. Assuming that the yield to maturity of each bond remains at 8.7% over the next 4 years, calculate the price of the bonds at each the following years to maturity. Round your answers to the nearest cent. Years to Maturity Price of Bond C Price of Bond Z 6. Select the correct graph based on the time path of prices for each bond. A Bone Price $1200 Bond $1.000 5800 Bond Z $600 $400 5200 Years to Maturity B Bond Price $1200 Bond Z $1.000 $800 5600 $400 $200 Sond Years to Maturity Bond Price $1.200 Bond C $1.000 $800 $600 Bond Z $400 $200 3 1 Years to Maturity D Bond Price! $1.200 Bond Z $1.000 $800 $600 Bond C $400 $200 3 2 1 Years to Maturity The correct sketch is -Select
Step by Step Solution
There are 3 Steps involved in it
Get step-by-step solutions from verified subject matter experts
