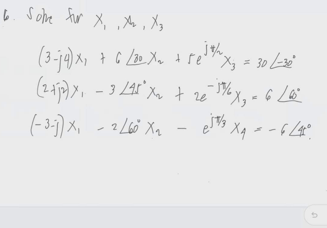
Question: 6. Some for X, , Az, X3 ( 3 - 14 ) X, + 6 / 30 Xu + se 10 /~ X. = 30

6. Some for X, , Az, X3 ( 3 - 14 ) X, + 6 / 30 Xu + se 10 /~ X. = 30 - 30 ' ( 2 4 12 ) x , - 3/ 45 X2 + ze - 17 /6 * = 4 / 60 ( - 3- ]) X, - 2/ 60 X2 - e 57/3 XA = - 6 / 410
Step by Step Solution
There are 3 Steps involved in it
Get step-by-step solutions from verified subject matter experts
