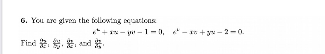
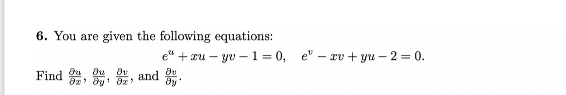
Question: 6. You are given the following equations: e + xu - yu -1 =0, e - xu + yu - 2 = 0. Find du


6. You are given the following equations: e" + xu - yu -1 =0, e" - xu + yu - 2 = 0. Find du du du Ox ' dy ' dx , and av ay
Step by Step Solution
There are 3 Steps involved in it
Get step-by-step solutions from verified subject matter experts
